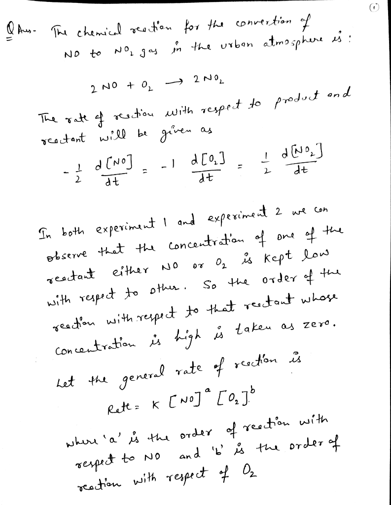
Question & Answer: An atmospheric scientist interested in how NO is converted to NO2 in urban atmospheres…..

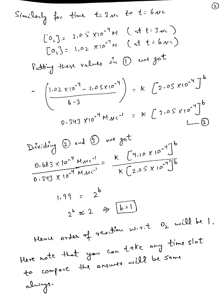
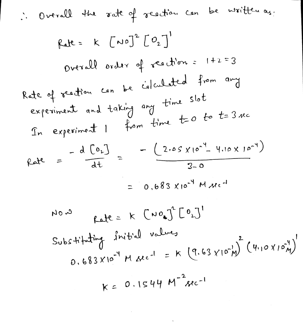
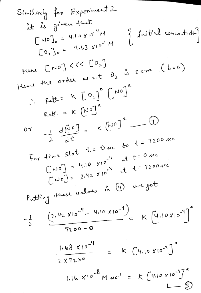
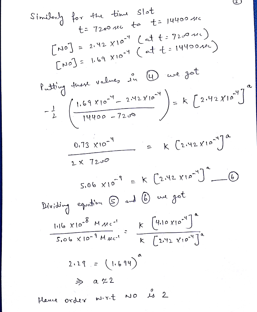
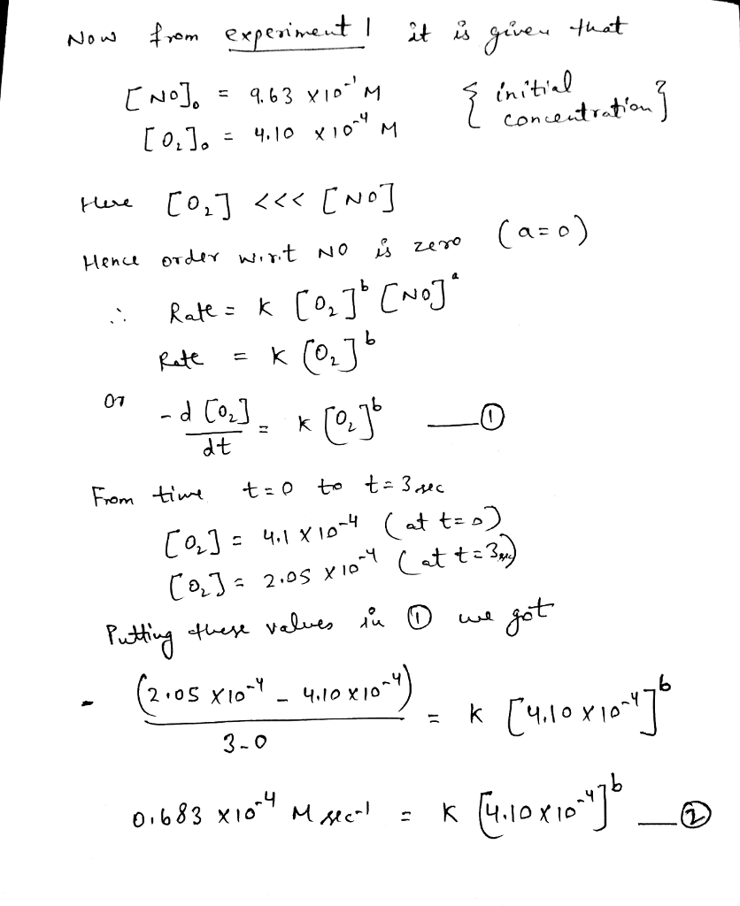
An atmospheric scientist interested in how NO is converted to NO2 in urban atmospheres carries out two Map experiments to measure the rate of this reaction. The data for two experiments is tabulated below. Experiment 1: [NOlo = 9.63x101 M, [O2lo = 4.10 x 10-4 M Time (s): [O2l (104 M) Experiment 2: [NOlo = 4.10 x 10-4 M, [O2Io = 9.63x10 M Time (s): [NO] (104 M): 4.10 2.42 1.69 1.32 1.08 What is the order of the reaction with respect to: 0 3.0 6.0 9.0 12.0 4.10 2.05 1.02 0.51 0.25 7200 14400 21600 28800 Number Number NO I2 Input the value of the rate constant, and select the correct units. NumberO Ms O M2s1

An atmospheric scientist interested in how NO is converted to NO2 in urban atmospheres carries out two experiments to measure the rate of this reaction. The data for two experiments is tabulated below. Experiment 1: [NO]_0 = 9.63 times 10^-1 M, [O2]_0 = 4.10 times 10^-4 M Experiment 2: [NO]_0 = 4.10 times 10^-4 M, [O2]_0 = 9.63 times 10^-1 M What is the order of the reaction with respect to: O_2 NO Input the value of the rate constant, and select the correct units. Number M s^-1 s^-1 M^-1 s^-1 M^-2 s^-1 M^-3 s^-1

Expert Answer

Answer

Still stressed from student homework?
Get quality assistance from academic writers!