
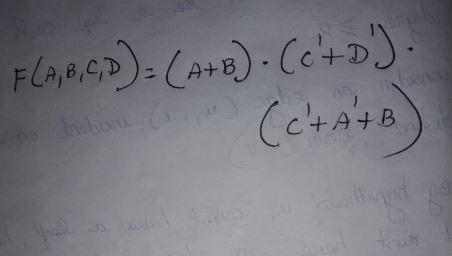
Consider the function F(A, B, C, D) = sigma m(4, 5, 6, 8, 9, 12, 13, 14): a. Find the minimal product-of-sums form of the function. b. Using Quartus, create a single schematic where you represent the POS function as a circuit using AND gates, OR gates, and inverters, and as a circuit using NOR gates and inverters. You may use AND gates, OR gates, and NOR gates having any number of inputs. Connect the inputs of both circuits to the same set of input pins, but name the outputs differently (F1 and F2). c. Simulate the schematic containing your circuits, and verify that both circuits give the correct outputs.
Expert Answer


